The most commonly deficient nutrients in the diet
Diet is important to our health. Yet most of our meals are lacking in these six important nutrients.
A trapezoid is a convex quadrilateral with two parallel sides, called the bases, and the remaining sides are called the lateral sides. The formula for calculating the perimeter of a trapezoid and the area of a trapezoid is one of the basic mathematical knowledge that is often applied in both study and life. The following article will introduce to you the formula for calculating the area of a trapezoid and the length of the base of a trapezoid, please refer to it.
Table of Contents
There is a trapezoid ABCD with base AB length a, base CD length b and height h.

The area of a trapezoid is equal to the average of the two bases multiplied by the height between the two bases.
In there:
There is also a poem about calculating the area of a trapezoid that is quite easy to remember as follows:
Want to calculate the area of a trapezoid
We add the big bottom and the small bottom together.
Add and multiply by height
Divide in half and take in half, it will come out anyway.

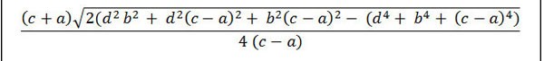
In case the problem gives data on the length of 4 sides, clearly stating the base side a, c with base side c being larger than base side a, the side sides are b and d, then you can calculate the area of the trapezoid using the following formula.

In there:
A right trapezoid is a trapezoid with one right angle. The side perpendicular to the two bases is also the height h of the trapezoid.

The general formula for calculating the area of a right trapezoid is similar to that of a regular trapezoid: the average of the two base sides multiplied by the height between the two bases , however the height here is the side perpendicular to both bases.
In there:
An isosceles trapezoid is a trapezoid whose two adjacent angles are equal. The two sides of an isosceles trapezoid are equal and not parallel.

In addition to applying the formula as usual to calculate a trapezoid, you can also divide the isosceles trapezoid into smaller parts to calculate the area of each part and then add them together.

For example, the isosceles trapezoid ABCD has 2 equal sides AD and BC. With heights AH and BK, the trapezoid will be divided into 1 rectangle ABKH and 2 triangles ADH and BCK. Apply the formula for calculating the area of a rectangle for ABHK and the area of a triangle for ADH and BCK then add all the areas to find the area of trapezoid ABCD.
Specifically like this:
And SADH = SBCK (easy to prove), we get:
Knowing the area, height and length of one side of the base, you can calculate the length of the remaining side as follows:
Example 1: Calculate the area of a trapezoid
Calculate the area of a trapezoid knowing that the length of the two bases are 18cm and 14cm respectively; the height is 9cm
Prize:
Applying the formula for calculating the area of a trapezoid we have:
So the area of the trapezoid is 144cm2
Example 2:
There is a trapezoidal piece of land with a small base of 24m and a large base of 30m. Extend the two bases to the right of the land with the large base added by 7m and the small base added by 5m to obtain a new trapezoidal piece of land with an area 36m2 larger than the original area. Calculate the area of the original trapezoidal piece of land.
Prize:
According to the problem, the increased area is the area of a trapezoid with a large base of 7m and a small base of 5m. Therefore, the height of the trapezoidal plot of land is: h = (36 x 2) : (7 + 5) = 6m
The initial area of the land is: S = 6 . (24 + 30) : 2 = 162m²
Lesson 3:
Given a square trapezoid with a distance of 2 bases of 16cm, the small base is ¾ of the large base. Calculate the length of the 2 bases when knowing the area of the square trapezoid is 112cm².
Prize:
The distance between the two bases in a right trapezoid is the height of the trapezoid, so:
The total length of the two bases is (112 x 2) : 16 = 14cm
We call the length of the small base a, the length of the large base b, we have:
a + b = 14 and a = ¾ b
So a = 14 x 4: 7 = 8cm
Therefore, small base = 34/7 cm, large base 64/7 cm
Example 4: Isosceles trapezoid ABCD (AB//CD) has AB = 5cm, CD = 13cm, AD = 5cm. Calculate the area of trapezoid ABCD?
Prize:

Let AH and BK be the two heights of the trapezoid. Then, ABKH is a rectangle, we have:
Applying the Pythagorean theorem to right triangle AHD we have:
So: AH = 3cm
So the area of trapezoid ABCD is:
Above is an article by Quantrimang.com about the most standard formula and method to calculate the area of a trapezoid. Hope the article will be useful to you!
Diet is important to our health. Yet most of our meals are lacking in these six important nutrients.
At first glance, AirPods look just like any other true wireless earbuds. But that all changed when a few little-known features were discovered.
In this article, we will guide you how to regain access to your hard drive when it fails. Let's follow along!
Dental floss is a common tool for cleaning teeth, however, not everyone knows how to use it properly. Below are instructions on how to use dental floss to clean teeth effectively.
Building muscle takes time and the right training, but its something anyone can do. Heres how to build muscle, according to experts.
In addition to regular exercise and not smoking, diet is one of the best ways to protect your heart. Here are the best diets for heart health.
The third trimester is often the most difficult time to sleep during pregnancy. Here are some ways to treat insomnia in the third trimester.
There are many ways to lose weight without changing anything in your diet. Here are some scientifically proven automatic weight loss or calorie-burning methods that anyone can use.
Apple has introduced iOS 26 – a major update with a brand new frosted glass design, smarter experiences, and improvements to familiar apps.
Yoga can provide many health benefits, including better sleep. Because yoga can be relaxing and restorative, its a great way to beat insomnia after a busy day.
The flower of the other shore is a unique flower, carrying many unique meanings. So what is the flower of the other shore, is the flower of the other shore real, what is the meaning and legend of the flower of the other shore?
Craving for snacks but afraid of gaining weight? Dont worry, lets explore together many types of weight loss snacks that are high in fiber, low in calories without making you try to starve yourself.
Prioritizing a consistent sleep schedule and evening routine can help improve the quality of your sleep. Heres what you need to know to stop tossing and turning at night.
Adding a printer to Windows 10 is simple, although the process for wired devices will be different than for wireless devices.
You want to have a beautiful, shiny, healthy nail quickly. The simple tips for beautiful nails below will be useful for you.